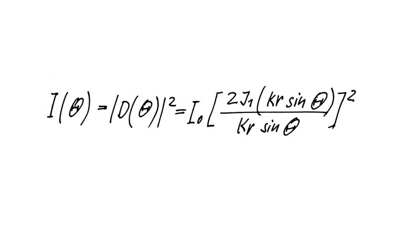
Fraunhofer theory describes the portion of light deflection that occurs exclusively as a result of diffraction.

If light encounters an obstacle for example a particle this results amongst other things in diffraction. If light falls on an obstacle or an opening, then diffraction and interference effects occur. If the incident light falls parallel (even wave fronts), then you speak of Fraunhofer diffraction. This is always the case if the light source is at infi nity or is “shifted” there by a lens.

Since the light defl ection by diffraction is dominant for suffi ciently large particles, the Fraunhofer theory can be applied for particle size measurement down into the lower micrometre range. A great advantage of the Fraunhofer theory is that no knowledge is necessary of the optical characteristics of the analysed material.

FRITSCH Software
The actual result of a particle size measurement is provided only after the evaluation with the supplied FRITSCH software. Depending on the particle characteristics and requirements, two common analysis theories are applied: the Fraunhofer theory for larger particles whose optical parameters are not known and the Mie theory for smallest particles with known optical parameters. In the FRITSCH software, you can easily select both theories.